https://mind.1688.com/1688pc/pc-home/wkjhxWbz6dfhkixKdyrW/index.html
1688工业品工业行家选企业采购
PA36627| 3-氨基-3-(4-氟苯基)丙酸| 325-89-3    ≥97.0%  5g/瓶

PA36627| 3-氨基-3-(4-氟苯基)丙酸| 325-89-3 ≥97.0% 5g/瓶

96/
晚发必赔

广东韶关

1688工业品为您提供在线免费查询更多化学试剂详细参数、实时报价、规格一览表。更多关于化学试剂多少钱一瓶/化学试剂报价明细/化学试剂规格型号价格表/化学试剂批发市场价格/化学试剂官方报价等咨询,尽在1688工业品。询底价>

为你找到通用有机试剂相关产品

1688工业品>化工>化学试剂>通用有机试剂
PB32461| 甲基乙烯砜| 3680-02-2   ≥95.0%   5g/瓶

PB32461| 甲基乙烯砜| 3680-02-2 ≥95.0% 5g/瓶

120
售10+瓶

广东韶关

在线询价
六氟异丙醇 920-66-1 HFIP 99% 1kg 25kg

六氟异丙醇 920-66-1 HFIP 99% 1kg 25kg

650
售10+千克

湖北武汉

在线询价
磺丁基倍他环糊精 SBECD在口服制剂中的应用

磺丁基倍他环糊精 SBECD在口服制剂中的应用

3600
售10+千克

山东滨州

在线询价
现货速发 乙酰丙酮氧钒CAS:3153-26-2   含量:≥99%   翁江试剂

现货速发 乙酰丙酮氧钒CAS:3153-26-2 含量:≥99% 翁江试剂

120
售10+瓶

广东韶关

在线询价
四氢吡喃-4-甲酸  CAS:5337-03-1  98%  现货供应  价格详询

四氢吡喃-4-甲酸 CAS:5337-03-1 98% 现货供应 价格详询

10
售10+千克

河南郑州

在线询价
甲基丙烯酸环己酯 Cas号: 101-43-9

甲基丙烯酸环己酯 Cas号: 101-43-9

59
售10+瓶

江西吉安

在线询价
双(2-甲基烯丙基)氯化钯| 12081-18-4  分析纯:AR  1g/瓶

双(2-甲基烯丙基)氯化钯| 12081-18-4 分析纯:AR 1g/瓶

1200
售10+瓶

广东韶关

在线询价
DL-薄荷醇| 15356-70-4   纯度:≥98.0%   500ml/瓶

DL-薄荷醇| 15356-70-4 纯度:≥98.0% 500ml/瓶

300
售10+瓶

广东韶关

在线询价
虎红钠盐  孟加拉玫瑰红   四碘四氯荧光素钠盐

虎红钠盐 孟加拉玫瑰红 四碘四氯荧光素钠盐

500
售10+千克

辽宁沈阳

在线询价
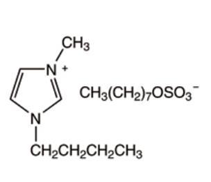
1-丁基-3-甲基咪唑辛硫酸盐 Cas号: 445473-58-5高纯新材料

1-丁基-3-甲基咪唑辛硫酸盐 Cas号: 445473-58-5高纯新材料

205
售10+瓶

江西吉安

在线询价
PB26992| 4-氰基哌啶| 4395-98-6   ≥97.0%   1g/瓶

PB26992| 4-氰基哌啶| 4395-98-6 ≥97.0% 1g/瓶

120
售10+瓶

广东韶关

在线询价
酞菁铜(II)  CAS:147-14-8  98%  现货  价格详询

酞菁铜(II) CAS:147-14-8 98% 现货 价格详询

10
售10+千克

河南郑州

在线询价
查看更多产品及报价
100+通用有机试剂相关产品等你解锁
在线寻源3000行家正在找货
免费询价,源头正品,上1688工业品,全国的工业正品交易平台